광주과학기술원(GIST)은 환경·에너지공학과 윤진호 교수가 이끄는 국제 공동연구팀이 인공지능(AI) 기술을 활용해 미국 서부의 기상 상태를 최대 한 달 뒤까지 기존보다 훨씬 더 세밀하고 정확하게 예측할 수 있는 새로운 방법을 개발했다고 7일 밝혔다.
복잡한 산악·해안·내륙 지형이 얽혀 예측 난도가 높은 미국 서부에서 성능이 검증됐다는 점에서, 기후 위기 시대 고해상도 예보 기술의 새로운 가능성을 열었다는 평가다.
연구팀은 기존 기상청·유럽 중기예보센터(ECMWF) 등에서 활용하는 수치예보(NWP) 모델이 약 120㎞(1.5도) 간격으로 넓게 나눠진 예보 구역 단위로 정보를 제공해 지역 특성을 충분히 반영하지 못하는 문제를 해결하는 데 초점을 맞췄다.
특히 미국 서부는 고도 차이가 크고, 바다에서 들어오는 공기와 내륙에서 내려오는 공기가 번갈아 영향을 주는(해양-내륙 간 기단 교환이 활발한) 지역이라 실제 날씨가 지형에 따라 크게 달라지며 예측이 어려운 곳으로 알려져 있다.
이를 해결하기 위해 연구팀은 날씨가 시간에 따라 어떻게 이어지고 변화하는지를 함께 학습하도록 설계한 '3차원(3D) U-Net 기반 AI 예보후처리 모델'을 개발했다. 이 모델은 오늘부터 예측하려는 날짜까지의 시간 구간(예보 선행시간)을 하나의 연속된 흐름으로 분석해, 비교적 정확도가 높은 초단기·중기(1~10일) 예보의 정보를 바탕으로 그 이후 연장 중기(10~32일) 예보까지 정확도를 자연스럽게 확장하도록 설계됐다.
즉, 기존 수치예보가 제공하는 정보를 단순히 보정하는 수준을 넘어, 시간·공간·지형 특성을 동시에 반영해 더 현실적인 결과를 내도록 만든 것이다.
연구팀이 개발한 AI 모델은 유럽 중기예보센터(ECMWF)의 예보 자료를 기반으로 약 23㎞(0.25도) 수준의 고해상도 정보를 생성하도록 학습됐으며, 동시에 수치예보에 반복적으로 나타나는 구조적 오차까지 보정하는 기능까지 갖췄다.
이 기술은 약 120㎞ 간격으로 넓게 구분돼 있던 예보 구역을 23㎞ 수준의 훨씬 촘촘한 구역으로 다시 세분화해, 더 작은 지역 단위까지 예측할 수 있도록 하고 산악·해안·내륙 등 지형에 따른 기상 변화를 더욱 정밀하게 반영할 수 있게 한다. 단순히 해상도를 높이는 데 그치지 않고, 실제 기상 패턴과의 차이를 줄이도록 예보 오차를 정교하게 조정하는 고도화된 방식이다.
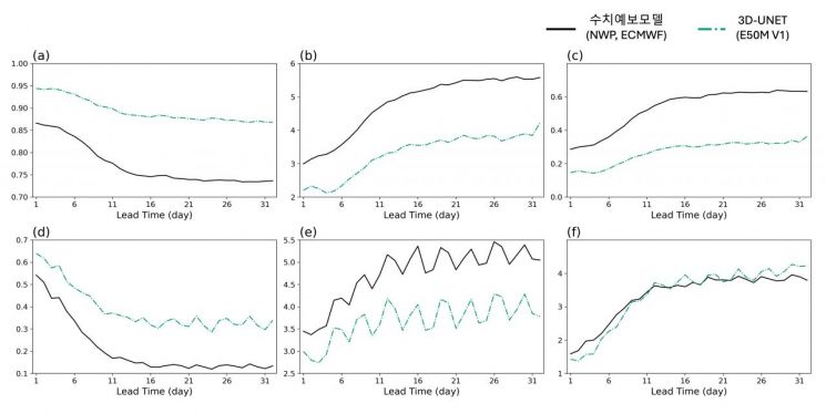
성능 평가 결과, 새 모델은 실제 기상 변화와의 일치도가 눈에 띄게 높아졌다. 온도의 경우 기상 패턴을 얼마나 잘 맞추는지를 보여주는 상관계수가 기존보다 0.12 높아졌고, 강수 예측에서도 0.18 상승했다. 상관계수는 값이 1에 가까울수록 실제 기상 변화와 더 일치하는 지표다. 또한 예측 오차(RMSE)는 온도 기준 약 31%, 강수 기준 약 22% 줄어, 전체적으로 기존 수치예보 대비 큰 폭의 정확도 향상을 보였다.
연구팀은 2023년 미국 캘리포니아에서 기록적인 폭우가 쏟아졌던 사례를 추가로 분석했다. 그 결과, 새 모델이 비가 내리는 위치와 분포는 더 정확하게 포착하지만, 실제 내린 비의 양(절대 강수량)은 다소 적게 예측하는 경향이 있는 것으로 확인됐다.
이는 해외에서 개발된 최신 AI 기반 기상 예측 모델에서도 공통으로 나타나는 한계로 알려져 있으며, 강수의 규모(양)를 정확하게 예측하는 것은 여전히 해결되지 않은 과제로 남아 있다는 것을 시사한다.
주목할 점은, 이번 연구가 복잡한 수십 개의 입력 정보를 더하거나 여러 모델의 결과를 모두 세세하게 활용하지 않고, 여러 예보 결과를 묶어 평균 낸 값과 가장 중요한 몇 가지 정보만으로도 높은 예측 성능을 냈다는 것이다.
이런 방식 덕분에 모델이 차지하는 메모리가 줄고 계산 시간도 크게 단축돼 고가 장비가 아닌 일반적인 GPU 환경에서도 안정적으로 운영할 수 있다. 즉, 대규모 AI 기상예보 시스템을 구축하기 전에 예측 능력을 먼저 끌어올릴 수 있는 현실적이고 효율적인 대안으로 평가된다.
윤진호 교수는 "기후변화로 예측의 중요성이 커지는 가운데 기존 모델이 만들어 낸 결과를 AI로 한 번 더 보정해 정확도를 높이는 '후처리 기술'은 수치예보의 한계를 보완하는 유력한 해법이 될 것"이라며 "특히 지형과 지역성이 복잡한 미국 서부 지역 사례에서 보듯, AI는 고해상도 지역 예보를 구현하는 데 결정적인 역할을 할 수 있다"고 강조했다.
지금 뜨는 뉴스
이어 "예측 정확도는 높이고 계산 부담은 줄여 운영 효율성까지 끌어올린 기술이기에 산불·홍수·가뭄 등 기후 재난 대응에도 큰 도움이 될 것"이라고 전망했다.
호남취재본부 민찬기 기자 coldair@asiae.co.kr
<ⓒ투자가를 위한 경제콘텐츠 플랫폼, 아시아경제(www.asiae.co.kr) 무단전재 배포금지>



