2015 공무원 봉급표, 3.8% 인상률 반영…얼마 받나 보니

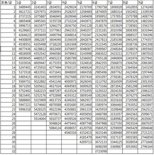
공무원 봉급표 2015 /사진=온라인커뮤니티

2015 공무원 봉급표, 3.8% 인상률 반영…얼마 받나 보니 [아시아경제 온라인이슈팀] 누리꾼들이 작성한 2015년 공무원 봉급표가 공개됐다.정부는 30일 정부세종청사에서 정홍원 국무총리 주재로 국무회의를 열고 공무원처우 개선을 위해 내년도 공무원 보수를 3.8% 인상하는 내용의 '공무원 보수ㆍ여비 규정' 개정안을 심의ㆍ의결했다. 정부는 공무원 사기 진작, 물가ㆍ민간임금 등을 고려해 이 같은 내용의 보수 인상안을 확정했다고 밝혔다. 이에 따라 대통령은 내년도 2억504만6000원, 국무총리는 1억5896만1000원, 부총리 및 감사원장은 1억2026만3000원의 연봉을 받게 된다. 장관 및 장관급에 준하는 공무원은 1억1689만3000원, 인사혁신처장, 법제처장, 국가보훈처장 및 식품의약품안전처장은 1억1520만6000원, 차관 및 차관급에 준하는 공무원은 1억1352만3000원으로 내년도 연봉이 확정됐다.이와 함께 병사 봉급이 올해에 이어 내년에도 15% 인상되며, 임용 전 교육기간(1년)인 경찰ㆍ소방 간부후보생에 대해 매월 33만원씩 지급하던 봉급도 일반직 공무원 등과의 형평성을 고려해 136만원으로 인상하기로 했다.정부는 실제보다 낮은 수준으로 책정됐던 국내외 숙박비 지원 상한액도 상향 조정했다.특별시 및 광역시는 현재 5만원에서 서울 7만원, 광역시 6만원으로, 기타 지역은 4만원에서 5만원으로 인상했다. 국외 숙박비 역시 열악한 지역을 위주로 8~16.4% 인상하고 여비 지급의 기준이 되는 지역 등급도 일부 조정하거나 신규 지정했다. 이에 각종 온라인 커뮤니티에는 누리꾼들이 직접 작성한 '2015년 공무원 봉급표'가 게재되고 있다. 해당 인상표는 '2014년 공무원 봉급표'에 인상률 3.8%를 적용한 것이다. 이에 기존 공무원들뿐만 아니라 공무원을 준비하고 있는 공무원시험 준비생들 역시 인상된 연봉표에 큰 관심을 보이고 있다. 안행부에 따르면 앞서 2014년 9급 공무원 시험에 응시한 인원은 총 19만3840명에 달한다. 경쟁률은 64.6대 1이다. 지난해에 비해 응시 인원이 3만8872명 늘어나면서 9급 지방직 공무원 시험 지원자는 사상 최대의 인원수를 기록하기도 했다.온라인이슈팀 issue@asiae.co.kr<ⓒ세계를 보는 창 경제를 보는 눈, 아시아경제(www.asiae.co.kr) 무단전재 배포금지>

편집1팀 온라인이슈팀 issue@asiae.co.krⓒ 경제를 보는 눈, 세계를 보는 창 아시아경제
무단전재, 복사, 배포 등을 금지합니다.

오늘의 주요 뉴스

헤드라인

많이 본 뉴스