부경대 이승훈 교수, 차세대 소재 ‘이산화바나듐’ 변화 규명

센서 메모리소자 등 소자로 활용 … 네이처 커뮤니케이션즈에 논문 발표

부경대 이승훈 교수.

[아시아경제 영남취재본부 김용우 기자] 센서나 메모리 소자로 쓰이는 차세대 소재인 이산화바나듐(VO2)의 모양이 바뀌는 특성을 부경대 이승훈 교수가 규명해 학계의 관심을 끌고 있다.

부경대 물리학과 이승훈 교수는 차세대 소재로 떠오르는 이산화바나듐(VO2)의 ‘상전이(phase transition)’ 특성에 관한 연구 결과를 최근 국제학술지 네이처커뮤니케이션즈에 발표했다.

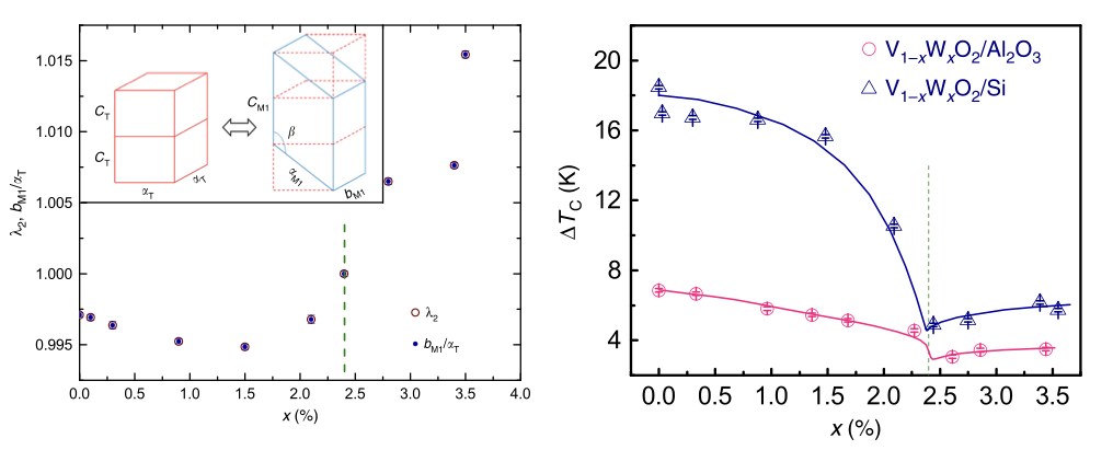
이 교수는 이산화바나듐의 상전이에는 소재의 결정(crystal) 구조가 핵심적인 역할을 한다고 봤다.

이산화바나듐이란 ‘금속-절연체 상전이’ 현상이 매우 빠르게 일어나는 물질로, 센서와 메모리소자, 스마트윈도우, 고속스위칭소자 등의 차세대 핵심소재로 주목받고 있다.

상전이란 물질이 일정 조건에서 상이 바뀌는 현상을 말한다. 이산화바나듐과 같은 물질을 상용화하기 위해선 외부 조건 변화에 따라 그 특성이 빠르게 전환되고, 반복되는 상전이에도 강한 내구성을 갖추는 것이 관건이다.

이산화바나듐 격자상수 변화 및 이력특성 변화.

물질은 상전이 과정에서 과거 상태가 현재 상태에 영향을 주는 열적이력현상(hysteresis)을 보이는데, 이산화바나듐도 가역성과 내구성에 악영향을 주는 열적이력현상을 줄이기 위한 각종 연구가 진행됐다.

이 교수는 다양한 농도의 텅스텐이 도핑된 이산화바나듐 박막을 제작하고, 고온과 저온에서의 격자상수(결정 구조 인자)를 분석했다. 그 결과 두 개의 서로 다른 상의 특정 방향의 격자상수가 비슷한 값을 가질 때 금속-절연체 상전이의 이력특성이 크게 감소하는 것을 밝혔다.

이 교수는 “이번 연구를 통해 상전이 물질의 특성을 이해하고 이를 제어함으로써 상전이 물질을 활용한 에너지, 바이오 분야 등 다양한 소자들의 실용화를 앞당길 수 있을 것으로 기대한다”고 말했다.

부경대 이승훈 교수는 메릴랜드대, 미국표준기술연구소, 홍콩과학기술대, 미네소타대 등과 진행한 공동연구를 담은 논문 ‘Tuning the hysteresis of a metal-insulator transition via lattice compatibility’를 지난 15일 공동 제1저자로 국제학술지 네이처 커뮤니케이션즈(Nature Communications)에 게재했다.

영남취재본부 김용우 기자 kimpro7777@asiae.co.kr<ⓒ경제를 보는 눈, 세계를 보는 창 아시아경제(www.asiae.co.kr) 무단전재 배포금지>

영남팀 영남취재본부 김용우 기자 kimpro7777@asiae.co.krⓒ 경제를 보는 눈, 세계를 보는 창 아시아경제
무단전재, 복사, 배포 등을 금지합니다.

오늘의 주요 뉴스

헤드라인

많이 본 뉴스